南昌大学杨维冉教授等在Chinese Journal of Catalysis期刊发表研究成果
本网讯(化学化工学院)近日,南昌大学化学化工学院在催化领域知名期刊Chinese Journal of Catalysis(IF=""16.5)发表了题为“Direct"" synthesis of α,ω-dicarboxylic acids via dicarbonylation of cyclic ethers”的文章。南昌大学化学化工学院杨维冉教授和北京大学化学与分子工程学院刘海超教授为共同通讯作者,南昌大学化学化工学院2021级博士研究生马长坡为第一作者。


α,ω-二羧酸是制备聚酰胺、聚酯和聚氨酯的重要中间体。然而,它们的生产途径有限,通常存在效率低和环境污染问题。在这里,杨维冉教授和刘海超教授报告了一种创新的方法,直接从环醚通过二羰基化合成了C+2二羧酸。在这项工作中,通过控制与RhCl3和碘在乙酸中的反应体系,选择性地形成了二碘取代的中间体,随后在H2和CO存在下转化为二羧酸。利用该体系,可以直接从四氢呋喃中得到高达84%的己二酸收率。该催化体系不仅适用于多种环醚,也适用于不同的伯二醇合成C+2长链的α,ω-二羧酸。本研究为己二酸、戊二酸及其他不易被其他方法合成的重要二羧酸(如1,7-庚二酸和1,8-辛二酸)的高效合成提供了一种新的二羰基化策略。
α,ω-二羧酸在化学工业中有着非常重要的作用,它们作为单体被广泛用于制备聚酰胺、聚酯和聚氨酯树脂、增塑剂和助剂。传统的二羧酸合成途径要么涉及选择性氧化反应,如环醇和酮(KA油),要么依赖于二烯的多步羰基化。由于二元羧酸的重要性,探索工艺绿色、原子有效和采用可再生原料的制备方法具有重要的意义。
从生物质原料中可以很容易得到环醚和多元醇,如果能够利用它们为原料,通过双羰基化直接制备二元羧酸,将是非常有潜力的反应途径。遗憾的是,到目前为止,大多数已发表的文献报道由环醚或多元醇通过羰基化反应生成的产物主要是C+1单羧酸。其主要的反应路径是生成了烯烃中间体,进而形成了单碘代产物,进一步羰基化生成了单羧酸。我们课题组一直致力于碘催化在生物质衍生的多元醇加氢脱氧方面的研究,研究中发现在特定的反应条件下,多元醇可以选择性地形成多碘取代化合物的中间体。受到这一启发,杨维冉教授和刘海超教授开发了一种新的策略,通过由环醚或多元醇形成二碘代物中间体,然后直接通过双羰基化反应生成对应的C+2二羧酸。由于己二酸是最有用的二羧酸之一,特别是作为合成聚酰胺、尼龙-6,6的前体,研究团队重点研究了通过双羰基化反应直接从四氢呋喃(THF)合成己二酸的创新方法。在初步优化的反应条件下,以铑盐为催化剂,碘为促进剂,乙酸和水为混合溶剂,在170 °C,CO和H2条件下,THF可以以84%的产率得到己二酸。该催化体系适用于各种环醚和伯多元醇,可高效生成相应的C+2长链二羧酸。该方法为合成α,ω-二羧酸提供了一条有效的途径。
该研究团队通过探索发现使用铑催化剂,I2为促进剂,乙酸和水为溶剂,四氢呋喃可以发生双羰基化反应直接制得己二酸,其中RhCl3的效果最优。通过比较不同的碘促进剂发现I2和HI都能达到很好的效果。此外,作者还考察了I2用量、水乙酸比、反应温度、气体(CO和H2)压力、Rh催化剂负载等参数对反应的影响 (图1)。在最优的条件下,可达84.3%己二酸产率。

图1 四氢呋喃合成己二酸的催化体系探索
此催化体系还可以用于其它环醚和α,ω-二元醇底物(表1)。不同碳链长度的环醚和α,ω-二元醇底物(C3-C6)均取得了很好的对应C+2二元羧酸产物。其中庚二酸和辛二酸都是用其它方法很难合成的产物。
表1 用各种环醚和二醇合成二羧酸

为了理清四氢呋喃二羰基化制备已二酸的机理,作者首先做了反应的时间产物曲线(图2),结果表明1,4-二碘丁烷和4-碘-1-丁醇为反应中间体,随着时间的延长产量逐渐降低,在2 h后无法检测到。同时,主要副产物戊酸和2-甲基丁酸的收率呈上升趋势。6 h时THF转化率达到100%,10 h后己二酸收率稳步提高至84.3% 。

图2反应的时间过程研究
然后,作者做了一系列的对照控制实验,如图3所示,进一步阐明了1,4-二碘丁烷和4-碘-1-丁醇确实是反应的中间体,也是生成最终产物已二酸的关键。而单羧酸副产物的生成主要是因为生成了烯烃中间体。

图3机理研究
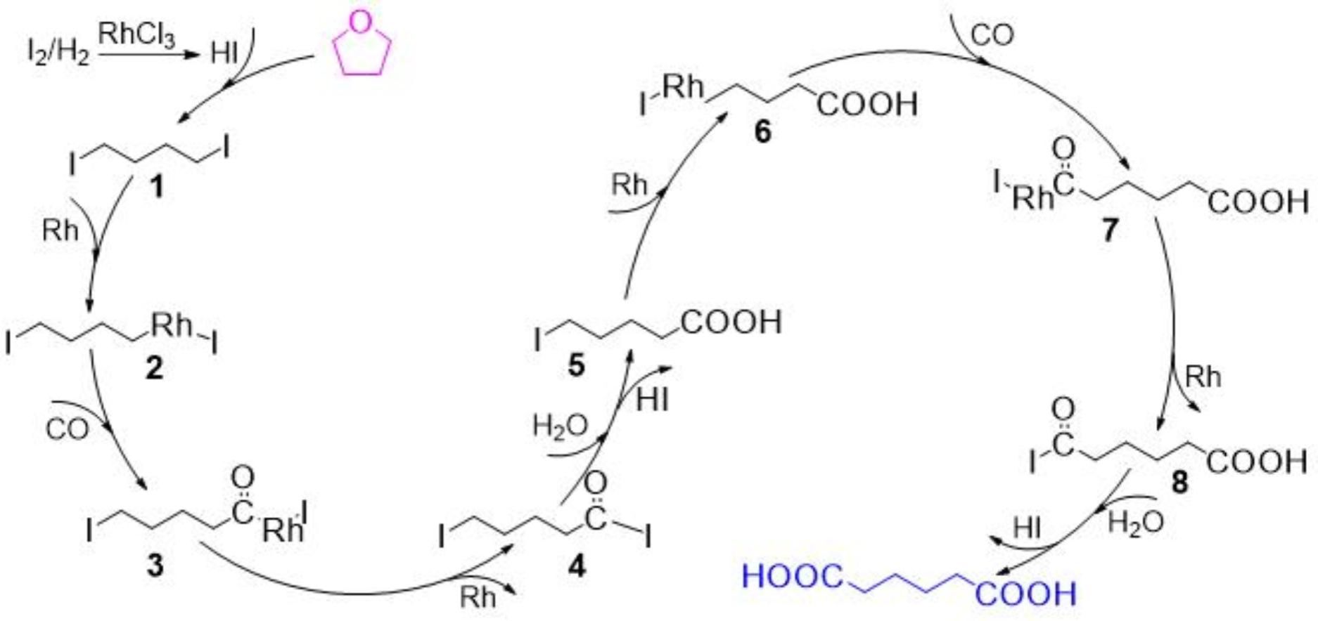
在以上实验研究的基础上,作者提出了四氢呋喃转化为己二酸的机理(图4)。HI首先由Rh催化剂催化H2和I2生成。然后,THF与HI反应生成1,4-二碘丁烷中间体(1)。然后,1加入到Rh活性中心形成配合物2。接下来,CO插入到铑活性中心形成络合物3,随后其还原消除形成化合物4。最后,化合物4水解生成化合物5,5进一步发生羰基化反应,经过配合物6和7生成最终产物己二酸。质谱检测发现了化合物5和8的结构,进一步证实了我们提出的机理。

图4 提出的THF合成己二酸的二羰基化机理(注:Rh代表铑活性中心)
作者开发了一种新的催化体系,以环醚或伯二醇为原料,通过二羰基化反应可用于制备α,ω-二羧酸。在初步优化的反应条件下,以铑盐为催化剂,碘为促进剂,乙酸和水为助溶剂,在CO和H2条件下,四氢呋喃可一步转化为己二酸,收率为84%。1,4-二碘丁烷中间体的生成是己二酸的关键。该反应体系也能有效地将其他环醚和二醇转化为相应的C+2二羧酸。这项工作提供了一种新的直接生产α,ω-二羧酸的策略,有重要的应用价值。
论文原文链接:https://www.cjcatal.com/CN/10.1016/S1872-2067(23)64577-2
南昌大学新闻网链接:http://news.ncu.edu.cn//ndyw/1561602f4e0749758981a98b28238290.htm